Demography
In our analysis, a noteworthy observation emerges as we identify higher COVID-19 mortality rates in wealthier states, exemplified by Delhi leading the statistics, followed by Maharashtra (Fig. 1a, b). In contrast, states with lower income levels, such as Bihar and Jharkhand, reported comparatively lower death rates. This pattern prompts further exploration to elucidate the factors contributing to the significant variation in COVID-19 mortality across different Indian states.
(a) Number of deaths per million inhabitants in each state due to COVID-19 as on 17 September 2020. The states are arranged in ascending GSDP per capita for year 2018 to 2019. (b) Number of deaths per million inhabitants in each state due to COVID-19 as on 7 May 2021. The states are arranged in ascending GSDP per capita for year 2018 to 2019.
Figure 2a, b reveals a discernible linear relationship between Deaths Per Million (DPM) and Gross State Domestic Product (GSDP) per capita for all states, with a Spearman correlation coefficient of 0.66 with DPM2 and 0.54 with DPM1 (Table 1). This statistical correlation underscores the association between economic affluence, as measured by GSDP per capita, and COVID-19 mortality.
(a) Plot showing positive correlation between Deaths due to COVID-19 as on 17 September 2020 vs. the state’s GSDP per capita for year 2018 to 2019. R denotes Spearman’s correlation coefficient of 0.54. Each dot denotes an Indian state(N = 28). (b) Plot showing positive correlation between Deaths due to COVID-19 as on 7 May 2021 vs. the state’s GSDP per capita for year 2018 to 2019. R denotes Spearman’s correlation coefficient of 0.66. Each dot denotes an Indian state(N = 28).
The percentage of the elderly population (over 60) exhibited a positive correlation with both DPM1 and DPM2, indicating a potential influence of age demographics on COVID-19 mortality. Similarly, positive correlations were observed with the literacy percentage and the Good Governance Index, emphasizing the significance of education and effective governance in pandemic outcomes. The most robust correlation was observed with Urbanization percentage, demonstrating a Spearman correlation coefficient (rho) of 0.71 for DPM1 and 0.57 for DPM2 (Table 1). This highlights the pivotal role of urbanization in shaping COVID-19 mortality patterns, suggesting that higher levels of urbanization may contribute to increased mortality rates. Conversely, the percentage of the population below the poverty line emerged as the only parameter with a negative correlation with both DPM1 and DPM2 (Table 1). This implies that regions with higher poverty percentages may experience comparatively lower COVID-19 mortality rates. In a comprehensive linear regression analysis, combining all considered parameters except Gross State Domestic Product (GSDP) per capita, we obtained adjusted R-squared values of 0.67 and 0.51 for DPM1 and DPM2, respectively (Fig. 3a).
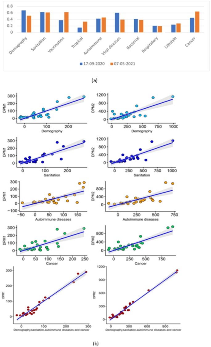
(a) Regression analysis was done with COVID-19 deaths/million in Indian states as on 17-09-2020 and 07-05-2021 as the dependent variable and combinations of different variables; N = 28. Graph shows the Adjusted R- squared values depicting how much percentage of variability in the mortality could be explained by the variables in each category. (b) Actual values of deaths per million as on 17 September 2020 (DPM1) and 7 May 2021(DPM2) plotted against their predicted values by combining variables of demographics, sanitation, autoimmune diseases and cancer separately and then combining all of them together. Regression analysis was done with DPM1 and DPM2 as the dependent variable and combinations of different variables as explanatory variables; N = 28. Each dot represents an Indian state.
Vaccination
The Universal Childhood Immunization Program in India, encompassing vaccines such as BCG, POLIO, DPT, Measles, and Hepatitis, has been a critical public health initiative. Our analysis reveals intriguing associations between vaccine coverage percentages and COVID-19 mortality. Positive correlations were observed between COVID-19 deaths (DPM1 and DPM2) and the vaccine coverage percentages of BCG, POLIO, DPT, Measles, and Hepatitis (Table 1). Conversely, vaccine percentages for Acute Hepatitis B and Acute Hepatitis E demonstrated negative correlations with both DPM1 and DPM2 (Table 1). The dosage of Vitamin A administered during infancy also exhibited a positive correlation with COVID-19 deaths (Table 1). Combining the vaccination parameters in linear regression yielded adjusted R-squared values of 0.37 and 0.62 for DPM1 and DPM2, respectively (Fig. 3a).
Tropical diseases
The prevalence of tropical diseases, including Trichuriasis, Leprosy, Hookworm, Ascaris, and Cystic Echinococcus, introduces a nuanced perspective on their potential relationship with COVID-19 mortality across states. Most tropical diseases, such as Trichuriasis, Leprosy, Hookworm, and Ascaris, displayed negative correlations with COVID-19 deaths (DPM1 and DPM2), indicating lower mortality rates in states with higher prevalence of these diseases (Table 1). Notably, Cystic Echinococcus exhibited a positive correlation with DPM, suggesting a potential association with increased COVID-19 mortality (Table 1). Combining the tropical diseases parameters in linear regression yielded adjusted R-squared values of 0.15 and 0.33 for DPM1 and DPM2, respectively (Fig. 3a). Given the low prevalence of these diseases in most states, further research is warranted to establish conclusive associations.
Autoimmune diseases
Positive correlations were observed between the prevalence of Gout, Diabetes Mellitus Type 2, and Inflammatory Bowel Disease (IBD) with COVID-19 deaths (DPM1 and DPM2), indicating potential higher mortality rates in states with a higher prevalence of these conditions (Table 1). Conversely, negative correlations were noted for Asthma and Psoriasis, suggesting potential lower mortality rates in states with a higher prevalence of these conditions (Table 1). Regression analysis with DPM1 and DPM2 yielded adjusted R-squared values of 0.42 and 0.46, respectively, suggesting that the considered chronic diseases collectively contribute to the observed variability in COVID-19 mortality (Fig. 3a).
Viral diseases
Negative correlations were observed between the prevalence of Rabies, Meningitis, and Acute Hepatitis with COVID-19 deaths (DPM1 and DPM2), indicating potential lower mortality rates in states with a higher prevalence of these infectious diseases (Table 1). Measles showed the highest negative correlation, with coefficients of -0.57 and − 0.73 for DPM1 and DPM2, respectively, suggesting a pronounced protective association (Table 1). In contrast, Dengue prevalence exhibited a positive correlation with COVID-19 deaths, indicating potential higher mortality rates in states with a higher prevalence of Dengue (Table 1). Regression analysis with DPM1 and DPM2 yielded adjusted R-squared values of 0.61 and 0.39, respectively, highlighting the potential collective impact of these infectious diseases on COVID-19 mortality (Fig. 3a).
Bacterial diseases
The prevalence of infectious diseases, including Whooping Cough, Chlamydia, and Diphtheria, demonstrated negative correlations with COVID-19 deaths (DPM1 and DPM2), suggesting potential lower mortality rates in states with a higher prevalence of these diseases. In contrast, Urinary Tract Infection (UTI) exhibited a positive correlation with COVID-19 deaths, indicating potential higher mortality rates in states with a higher prevalence of UTI (Table 1). Combining these infectious disease parameters in linear regression analysis produced statistically significant adjusted R-squared values of 0.4 (p-value = 0.0024) and 0.39 (p-value = 0.0035) for DPM1 and DPM2, respectively (Fig. 3a).
Respiratory diseases
Upper Respiratory Infection exhibited a negative correlation with COVID-19 deaths (DPM1 and DPM2), indicating a potential lower mortality rate in states with a higher prevalence of this respiratory condition. Conversely, Interstitial Lung Disease and Pulmonary Sarcoidosis showed positive correlations with COVID-19 deaths, suggesting potential higher mortality rates in states with a higher prevalence of these respiratory diseases (Table 1).
Linear regression analysis combining these respiratory disease parameters produced adjusted R-squared values of 0.20 and 0.19 for DPM1 and DPM2, respectively (Fig. 3a). These results indicate that, in our studies, no significant association of respiratory diseases with deaths due to COVID-19 could be identified.
Lifestyle diseases
A high percentage of BMI (Body Mass Index) deaths, elevated fasting plasma glucose, and high systolic blood pressure exhibited positive correlations with COVID-19 deaths (DPM1 and DPM2), implying potential higher mortality rates in states with a higher prevalence of these health indicators. Conversely, a good percentage of child and maternal nutrition showed negative correlations, suggesting potential lower mortality rates in states with better nutritional indicators (Table 1).
The linear regression analysis combining these health indicators yielded adjusted R-squared values of 0.24 and 0.28 for DPM1 and DPM2, respectively (Fig. 3a). However, these values did not reach statistical significance in our studies, indicating that the observed associations were not robust enough to consider these health indicators as significant predictors of COVID-19 mortality.
Cancer
All cancers except prostate cancer displayed a high positive correlation with COVID-19 deaths (DPM), indicating a potential association between overall cancer prevalence and higher mortality rates across states (Table 1). Since prostate cancer still displays a high positive correlation with DPM2 we include it in our analysis. Combining all cancer parameters for linear regression analysis with DPM1 and DPM2 produced adjusted R-squared values of 0.45 and 0.64, respectively (Fig. 3a). These results highlight a substantial explanatory power of cancer prevalence in understanding the observed variability in COVID-19 mortality.
The robust associations observed between overall cancer prevalence and COVID-19 mortality underscore the importance of considering cancer as a significant factor in the broader context of health outcomes during the pandemic.
Sanitation
Improved sanitation parameters across states, including the percentage of drinking water within premises and bathroom availability, displayed positive correlations with COVID-19 deaths (DPM1), indicating potential higher mortality rates in states with better sanitation infrastructure. Notably, Closed drainage showed a very high correlation, with rho values of 0.67 and 0.71 for DPM1 and DPM2, respectively (Table 1).
Conversely, parameters indicative of poor sanitation, such as the percentage of bathing in an enclosure without a roof, lack of drainage, and percentage of deaths due to unsafe handwashing and sanitation, exhibited negative correlations with COVID-19 deaths, suggesting potential lower mortality rates in states with inadequate sanitation facilities (Table 1).
The linear regression analysis, combining these sanitation parameters, yielded adjusted R-squared values of 0.62 and 0.61 for DPM1 and DPM2, respectively (Fig. 3a). These values indicate a substantial explanatory power of sanitation parameters in understanding the observed variability in COVID-19 mortality. The strong associations observed underscore the critical role of sanitation infrastructure in influencing COVID-19 outcomes, emphasizing the importance of public health measures related to sanitation.
Multivariate linear regression
The combination of broader variables encompassing demography, sanitation, autoimmune diseases, and cancer collectively produced adjusted R-squared values of 0.71 and 0.85 for DPM1 and DPM2, respectively (Fig. 3b). These high values indicate a substantial explanatory power of these combined variables in understanding the observed variability in COVID-19 mortality. Although the GSDP variable individually was found to be highly correlated with COVID-19 mortality, it becomes insignificant when other variables are accounted for. When GSDP was included among the explanatory variables it further reduced the R-squared value to 0.62 and 0.82 with DPM1 and DPM2 respectively. The correlation between the GSDP and the residuals obtained from the two models using DPM1 and DPM2 was insignificant (-0.040 and 0.12 respectively) which denotes that GSDP contributes very less to whatever remains unpredicted by the two models, thus we removed the variable as we found it a confounding factor.
States with a higher percentage of older population, improved sanitation parameters, elevated prevalence of autoimmune disorders, and increased cancer rates were more likely to experience higher mortality rates due to COVID-19. The intricate interplay of these factors underscores the complexity of the determinants influencing the impact of the pandemic across states.


